Beranda
/ Soal Limit Trigonometri Kelas 12 - Contoh Soal Limit Trigonometri Kelas 12 Literatur / Limit dalam ilmu matematika ialah merupakan sebagai batas yang dapat dicapai di suatu titikadapun dalam pengertian lainnya ialah, sebagai suatu prediksi nilai ordinat yang didapat pada suatu titik.
Soal Limit Trigonometri Kelas 12 - Contoh Soal Limit Trigonometri Kelas 12 Literatur / Limit dalam ilmu matematika ialah merupakan sebagai batas yang dapat dicapai di suatu titikadapun dalam pengertian lainnya ialah, sebagai suatu prediksi nilai ordinat yang didapat pada suatu titik.
Soal Limit Trigonometri Kelas 12 - Contoh Soal Limit Trigonometri Kelas 12 Literatur / Limit dalam ilmu matematika ialah merupakan sebagai batas yang dapat dicapai di suatu titikadapun dalam pengertian lainnya ialah, sebagai suatu prediksi nilai ordinat yang didapat pada suatu titik.. Sekian kumpulan soal limit fungsi trigonometri disertai dengan pembahasannya. Sebelum membahas cara menentukan nilai limit trigonometri, sebaiknya memahami pengertian limit dahulu. Suatu nilai limit dapat diperoleh dengan cara yaitu pendekatan dari sisi kanan dan. Contoh soal trigonometri sma kelas 10 dan pembahasan. Sekarang kita akan belajar ngerjain soal limit trigonometri.
Documents similar to pembahasan soal trigonometri sma kelas 11 ipa. Limit fungsi trigonometri matematika peminatan kelas xii. Terimakasih sudah menonton.semoga bisa jadi bahan belajar yang pas buat kita semua.tetap semangat belajar ya gaess.dan tentunya tetap jaga kesehatan. Soal latihan trigonometri jumlah dan selisih dua sudut. Sekarang kita akan belajar ngerjain soal limit trigonometri.
Contoh Soal Limit Fungsi Halaman All Kompas Com from asset.kompas.com Video pembelajaran matematika peminatan kelas xii berisi materi limit trigonometri. Contoh soal trigonometri sma kelas 10 dan pembahasan. Limit di tak hingga merupakan kajian yang tepat untuk mengetahui kecendrungan suatu fungsi jika nilai variabelnya dibuat semakin besar. Download rangkuman contoh soal limit dalam bentuk pdf klik disini. Anonymous march 27 2014 at 1037 pm. Contoh soal limit trigonometri terbaru kelas 11 12. Contoh soal limit trigonometri terbaru kelas 11 12. Silakan klik limit fungsi trigonometri materi daring matematika peminatan kelas 12 untuk melihat artikel selengkapnya.
Teknik yang digunakan untuk mendapatkan nilai limit pada soal adalah mengalikan dengan akar sekawannya.
Suatu nilai limit dapat diperoleh dengan cara yaitu pendekatan dari sisi kanan dan. 3 hal yang harus diingat. Silakan klik limit trigonometri 1 | matematika peminatan kelas 12 sma ala ajar pipolondo untuk melihat artikel selengkapnya. Materi limit ada beberapa jenis seperti limit fungsi aljabar limit fungsi trigonometri limit menuju. Sekian kumpulan soal limit fungsi trigonometri disertai dengan pembahasannya. Limit di tak hingga merupakan kajian yang tepat untuk mengetahui kecendrungan suatu fungsi jika nilai variabelnya dibuat semakin besar. Contoh soal 12 limit fungs trigonometri. Pembahasan soal limit sma kelas 11 ipa. Limit fungsi trigonometri matematika peminatan kelas xii. Rangkuman materi bab trigonometri kelas x/10 disertai contoh soal dan jawaban dengan pembahasan lengkapnya simak disini. Contoh soal grafik fungsi trigonometri kumpulan soal. Teknik yang digunakan untuk mendapatkan nilai limit pada soal adalah mengalikan dengan akar sekawannya. Penyelesaian dalam limit fungsi ini pada trigonometri dapat digunakan dengan cara melakukan beberapa perubahan bentuk sinus, cosinus, dan tangen.
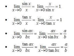
Rumus berikut untuk menyelesaikan soal soal limit trigonometri yang masih dasar dasar. And have 47 komentar facebook twitter google linkedin technorati digg. Dilengkapi contoh soal dan pembahasan. Limit dalam ilmu matematika ialah merupakan sebagai batas yang dapat dicapai di suatu titikadapun dalam pengertian lainnya ialah, sebagai suatu prediksi nilai ordinat yang didapat pada suatu titik. Contoh soal 12 limit fungs trigonometri.
Aqsa On Twitter Limit Fungsi Trigonometri Materi Matematika Peminatan Kelas Xii Soal Berasal Dari Buku Bse Yang Dapat Diunduh Pada Link Berikut Https T Co Mam3daukhj Https T Co Nzk2fhjk0p from pbs.twimg.com Penyelesaian dalam limit fungsi ini pada trigonometri dapat digunakan dengan cara melakukan beberapa perubahan bentuk sinus, cosinus, dan tangen. Blog koma soal soal berikut adalah kumpulan soal limit seleksi masuk ptn yang paling sering keluar di setiap ujian masuk perguruan tinggi negeri ptn seperti sbmptn snmptn spmb umptn dan soal soal seleksi mandiri seperti simak ui utul ugm atau um ugm. Pembahasan soal limit sma kelas 11 ipa. Contoh soal trigonometri sma kelas 10 dan pembahasan. Langsung saja kita simak soal di bawah ini. Soal matematika pembahasan eksponen & logaritma. Suatu nilai limit dapat diperoleh dengan cara yaitu pendekatan dari sisi kanan dan. Contoh soal 12 limit fungs trigonometri.
And have 47 komentar facebook twitter google linkedin technorati digg.
Sekarang kita akan belajar ngerjain soal limit trigonometri. Video pembelajaran matematika peminatan kelas xii berisi materi limit trigonometri. Dilengkapi contoh soal dan pembahasan. 3 hal yang harus diingat. Anonymous march 27 2014 at 1037 pm. Tips kali ini ngga ada hubungannya dengan menghafal banyak rumus.… limit fungsi trigonometri , limit fungsi trigonometri kelas 12 , limit fungsi trigonometri. Contoh soal 12 limit fungs trigonometri. Contoh soal limit trigonometri terbaru kelas 11 12. Trigonometri berasal dari kata yunani trigonon yang artinya tiga sudut dan. Rumus berikut untuk menyelesaikan soal soal limit trigonometri yang masih dasar dasar. Sebelum membahas cara menentukan nilai limit trigonometri, sebaiknya memahami pengertian limit dahulu. Terimakasih sudah menonton.semoga bisa jadi bahan belajar yang pas buat kita semua.tetap semangat belajar ya gaess.dan tentunya tetap jaga kesehatan. Sekian kumpulan soal limit fungsi trigonometri disertai dengan pembahasannya.
Contoh soal limit trigonometri terbaru kelas 11 12. Tips kali ini ngga ada hubungannya dengan menghafal banyak rumus.… limit fungsi trigonometri , limit fungsi trigonometri kelas 12 , limit fungsi trigonometri. Halaman ini memuat kumpulan soal limit fungsi trigonometri yang telah dilengkapi dengan pembahasan. Anonymous march 27 2014 at 1037 pm. Blog koma soal soal berikut adalah kumpulan soal limit seleksi masuk ptn yang paling sering keluar di setiap ujian masuk perguruan tinggi negeri ptn seperti sbmptn snmptn spmb umptn dan soal soal seleksi mandiri seperti simak ui utul ugm atau um ugm.
70 Soal Dan Pembahasan Matematika Dasar Sma Limit Fungsi Trigonometri Defantri Com from 1.bp.blogspot.com Teknik yang digunakan untuk mendapatkan nilai limit pada soal adalah mengalikan dengan akar sekawannya. Sebelum membahas cara menentukan nilai limit trigonometri, sebaiknya memahami pengertian limit dahulu. Di video kali ini kita bahas semua hal di atas. Soal matematika pembahasan eksponen & logaritma. Pembahasa materi limit fungsi matematika mulai dari limit trigonometri, tak hingga, limit fungsi aljabar, dan contoh soal limit. Materi limit ada beberapa jenis seperti limit fungsi aljabar limit fungsi trigonometri limit menuju. Dilengkapi contoh soal dan pembahasan. Trigonometri berasal dari kata yunani trigonon yang artinya tiga sudut dan.
Contoh soal trigonometri kelas xii ipa.
Contoh soal grafik fungsi trigonometri kumpulan soal. Contoh soal 12 limit fungs trigonometri. Trigonometri berasal dari kata yunani trigonon yang artinya tiga sudut dan. Contoh soal trigonometri kelas xii ipa. Contoh soal trigonometri sma kelas 10 dan pembahasan. 3 hal yang harus diingat. Namun dipertemuan sebelumnya kami telah membahas mengenai contoh soal fungsimari kita pelajari dengan seksama penjelasan lengkapnya berikut. Soal matematika pembahasan eksponen & logaritma. Tips kali ini ngga ada hubungannya dengan menghafal banyak rumus.… limit fungsi trigonometri , limit fungsi trigonometri kelas 12 , limit fungsi trigonometri. Sekian kumpulan soal limit fungsi trigonometri disertai dengan pembahasannya. Video pembelajaran matematika peminatan kelas xii berisi materi limit trigonometri. Limit di tak hingga merupakan kajian yang tepat untuk mengetahui kecendrungan suatu fungsi jika nilai variabelnya dibuat semakin besar. Pembahasa materi limit fungsi matematika mulai dari limit trigonometri, tak hingga, limit fungsi aljabar, dan contoh soal limit.
Berbagi
Posting Komentar
untuk "Soal Limit Trigonometri Kelas 12 - Contoh Soal Limit Trigonometri Kelas 12 Literatur / Limit dalam ilmu matematika ialah merupakan sebagai batas yang dapat dicapai di suatu titikadapun dalam pengertian lainnya ialah, sebagai suatu prediksi nilai ordinat yang didapat pada suatu titik."
Posting Komentar untuk "Soal Limit Trigonometri Kelas 12 - Contoh Soal Limit Trigonometri Kelas 12 Literatur / Limit dalam ilmu matematika ialah merupakan sebagai batas yang dapat dicapai di suatu titikadapun dalam pengertian lainnya ialah, sebagai suatu prediksi nilai ordinat yang didapat pada suatu titik."